英雄联盟里出肉是加生命值还是堆护甲_-云雀
一、太长不看的结论
记忆性结论: 前期无脑只出血量,中后期血量与护甲均衡;
理论性结论: 血量始终为护甲的7.5倍+750。
本文仅讨论护甲和血量关系 ,给出理论推导,欢迎讨论与指正。
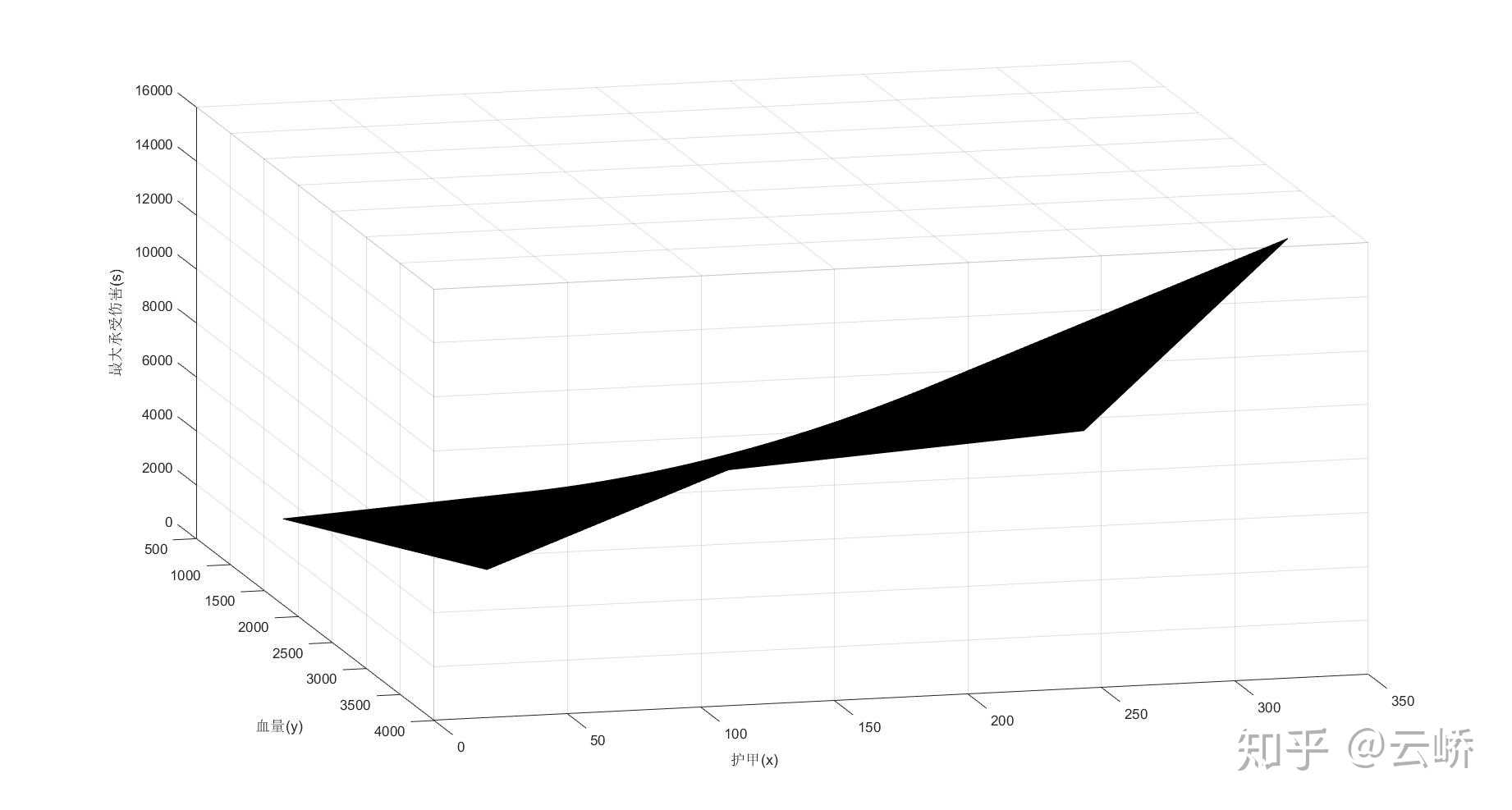
二、护甲、血量和承伤的基本数学关系
设护甲为x,血量为y。
设减伤比例为p,则有:
设最大承受伤害为s,则有:
绘制出护甲、血量、最大承受伤害 关系图:


理论和直观观察均可得知其不是平面,需要用最优化理论 解决。
三、最大承受伤害s(x,y)的金币形式
为了使讨论有意义,现化为护甲上花费的金币,血量上花费的金币与最大承受伤害 的关系函数s(a,b),其中a为护甲上花费的金币,b为血量上花费的金币。
如果按布甲和红水晶讨论有:

那么容易得到s(a,b)为:

由于只是调整了系数,函数图像只是拉伸,仍未非平面。
四、最优化目标与最佳路径
最终优化目标为:在一定的金币c下**(亦即a+b=c为常数)** ,使得最大承受伤害s(a,b)最高。
也可以理解为:在常数c不断变换的情况下,用a+b=c这一系列平面去截取上图,找到截取曲线上的最高点。将最高点连成一条曲线,就是理想出装路径。
易知截取的曲线为二次曲线:
得最高点为:
由于a,b只可取正值,故当c<2000时,a=0, b=c
综上绘制最佳路径如下图所示:

同时可知该路径投影为两段直线,且当c>2000时,有a,b关系:
实际意义为:血量花费始终比护甲花费多2000。
五、起点不为零的最佳路径
实际上,每个英雄一级都有初始护甲和血量**(相当于系统一级免费给你的护甲和血量花费)** ,但都不在最佳路径上,比如某英雄一级600血,36护甲,那么在图中标点为

这种情况下可以化为a和b有个截距,可以继续套用b=a+2000,即血量比护甲多花费2000,实际上也是两段直线,先是平行b轴到主线,在沿着主线上升。

通过暴力程序进一步验证结论的正确性:

最终结论为:全局最佳路径是先沿着平行于b轴的直线到达最佳路径,再沿着最佳路径上升。
实际意义为:先只出血量,再按一定比例出护甲和血量。
六、结论
金币关系为:血量花费始终比护甲花费多2000;
转化为血量和护甲关系为:血量始终为护甲的7.5倍加750。
七、备注
- 仅讨论护甲和血量关系,破甲、真伤请酌情变动;若考虑混合伤害还需考虑伤害比例;因此这套理论非常适用于前期对线;
- 血量花费始终比护甲花费多2000这个结论或许有些怪异,因为要算入一级初始系统免费给你的花费;
- 性价比问题。大腰带和锁子甲,红水晶和布甲的性价比相差无几,后期大件多数是花钱买特效降低了性价比,我认为仍然可以按这个公式 ,买特效的钱当扔掉就行了(存疑);
- 不可以用“梯度下降法”来做,因为这个步长不是一般的步长,而是:

但是本题结论又和梯度有着微妙的关系,令梯度的参数相等即可得本题结论;
5. 对争论不已的护甲收益问题的解释——争议的源头就是“收益”的理解。
如果收益理解为“每一点护甲提升的减伤收益”那就是非线性,即p(x)的导数;
如果收益理解为“每一点护甲提升的承伤收益”那就是线性,即q倒数的导数;
如果收益理解为“每一点金币提升的承伤收益”那就是线性,但这条线性路径不如别的路径收益高。
6. 如果大家发现文章中有任何纰漏,又或者有任何疑问,欢迎通过评论区、私信、咨询等方式和我联系_
评论区
陈宇鹏: 最强王者的论证😂 👍🏽735 💭N/A IP 🕐2020-09-01 00:00:03
│ └── 锦垚: 太鸡儿专业了 👍🏽21 💭N/A IP 🕐2020-09-02 09:52:30
│ └── 二流白银选手: 这才是真·用脑子玩游戏[赞同][赞同] 👍🏽53 💭N/A IP 🕐2020-09-02 09:58:27
│ │ └── 不和狗互动: 用知识玩游戏(细化) 👍🏽1 💭N/A IP 🕐2020-09-05 14:27:15
│ └── 鸽鸽鸽: 硬核分析 👍🏽5 💭N/A IP 🕐2020-09-02 11:28:19
│ └── 多米熊: 专业,不过老玩家应该都知道的吧。稍微计算一下就知道了,初期伤害低,堆血量肯定性价比高。护甲的比例减伤,后期伤害高了肯定加护甲划算。 👍🏽11 💭N/A IP 🕐2020-09-02 12:10:53
│ │ └── 命运的玩笑: 定性理解和定量分析是两个境界啊… 👍🏽28 💭N/A IP 🕐2020-09-02 12:15:17
│ │ │ └── 多米熊: 我说的计算就是把出装顺序和经济好坏考虑进去啊。不同英雄,不同发育出装也不一样啊。 👍🏽1 💭N/A IP 🕐2020-09-02 13:44:30
│ │ │ │ └── 反求诸己: 。。。。。。 👍🏽0 💭N/A IP 🕐2020-09-02 14:58:23
│ │ │ └── 多米熊: 还有对方的阵容。答主的变量还是太少了吧。 👍🏽1 💭N/A IP 🕐2020-09-02 13:47:24
│ │ │ └── 命运的玩笑: 对对,再完善完善。建立综合性模型。 👍🏽0 💭N/A IP 🕐2020-09-02 15:21:35
│ │ └── 碎觉: 前期伤害低为什么不能用护甲减伤使其更低呢 👍🏽0 💭N/A IP 🕐2020-09-23 08:39:34
│ │ └── 就叫七七吧: 前期抗性装优于血量装的 👍🏽0 💭N/A IP 🕐2020-09-26 00:51:23
│ │ └── 生生: 因为出门初始护甲就已经可以抵消30%-40%的伤害了,出血量收益高 👍🏽0 💭N/A IP 🕐2020-09-28 19:08:15
│ └── 助理号: 玩游戏?我不配[可怜] 👍🏽0 💭N/A IP 🕐2020-09-02 14:43:10
小布: 已赞同、收藏,同时给大佬来俩道附加题;1)如果题目换成魔抗计算,魔抗和血量的比例会是多少呢?2)游戏进行至中后期,全物理阵容都会有至少25%物理穿透效果(黑切24%或轻语系列25%),如果再原先题目基础上,护甲收益只有75%,那护甲和血量的最佳购买比例又会是多少呢? 👍🏽324 💭N/A IP 🕐2020-09-01 00:24:59
│ └── 云雀: 明天答,今天太晚了[摊手] 👍🏽95 💭N/A IP 🕐2020-09-01 01:01:18
│ │ └── 不知鸟: 膜拜大佬 👍🏽1 💭N/A IP 🕐2020-09-02 12:27:24
│ │ └── 悠唔: 我建议你把这些评论回复放到回答里 👍🏽0 💭N/A IP 🕐2020-09-02 18:40:51
│ └── 云雀: 第一个问题,血量等于魔抗的6.75倍+675,前期对线法师时可以用用 👍🏽75 💭N/A IP 🕐2020-09-01 12:54:03
│ │ └── 星河欲曙天: 果然是大佬[欢呼] 👍🏽6 💭N/A IP 🕐2020-09-02 10:57:12
│ └── 云雀: 第二个问题,直接把你护甲乘0.75当作当前护甲,然后再按7.5+750这个算,不过后期这个公式的正确性有待考量 👍🏽43 💭N/A IP 🕐2020-09-01 12:55:24
│ │ └── 游客用戶: 那就是系数变成了5.6,继续堆肉平衡 👍🏽0 💭N/A IP 🕐2020-09-02 17:05:38
│ │ └── 小布: 第二个问题,总感觉不对劲。在我的视角里面,我的护甲购买收益只有75%。也就是从1金币0.05护甲变成了0.0375护甲。而7.5+750的比例是按照0.05护甲来计算的。而且按照大佬的思路逻辑走,当对方出了百分比穿透後,我需要出更高的护甲,反而会大大提高对方的护甲穿透数值。和原先我想的破局思路相反,我原先的思路是出更高血量,从而降低对方的护甲穿透百分比效果。 👍🏽5 💭N/A IP 🕐2020-09-02 18:41:50
│ │ └── 云雀: 你的理解是对的,是我想错了 👍🏽1 💭N/A IP 🕐2020-09-02 19:50:46
│ │ └── 云雀: 你的理解是对的,是我想错了 👍🏽0 💭N/A IP 🕐2020-09-02 19:50:52
│ │ └── 云雀: 这种情况下应该折合性价比,而不应该折合护甲。折合性价比后公式变为10x+1000,此时你的血量相对于原来来说低于理论值,应该补血量来破局 👍🏽7 💭N/A IP 🕐2020-09-02 19:52:48
│ │ │ └── Akali: 那如果对一个战士来说,过度补充血量可能会导致触发对面砍倒+巨杀导致自己额外承受31%伤害,这时候如何计算呢 👍🏽0 💭N/A IP 🕐2021-06-08 13:09:08
│ │ └── 云雀: [赞同][赞同][赞同]论理解还是你强啊 👍🏽4 💭N/A IP 🕐2020-09-02 19:53:13
│ │ └── darkmen: 防装收益降低后我选择出输出[害羞] 👍🏽4 💭N/A IP 🕐2020-09-03 09:02:10
│ └── 云来云去: 你这个魔鬼 还加两道附加题 👍🏽0 💭N/A IP 🕐2020-10-27 16:16:24
丛帅: 真不戳 👍🏽30 💭N/A IP 🕐2020-09-01 00:12:04
│ └── 取名王富贵: 猪在山里针不戳 👍🏽11 💭N/A IP 🕐2020-09-02 08:55:52
│ │ └── serene: 哈哈哈哈哈哈哈哈哈哈哈哈(魔性) 👍🏽0 💭N/A IP 🕐2020-09-02 12:23:52
│ └── 阿俊: 茄迟但到! 👍🏽0 💭N/A IP 🕐2020-09-03 21:01:28
QuadrupoleSplitting: 观察第二个式子 👍🏽77 💭N/A IP 🕐2020-09-02 06:37:47
颜王帝君: 你选好了?我选剑姬 👍🏽10 💭N/A IP 🕐2020-09-01 09:43:24
│ └── 云雀: 我选亚索[飙泪笑] 👍🏽0 💭N/A IP 🕐2020-09-01 10:09:04
│ │ └── 云雀: 不过严肃地讲,打剑姬更要多出血量 👍🏽8 💭N/A IP 🕐2020-09-01 10:09:53
│ │ │ └── 王孝俊: 打剑姬实际上是先反甲 👍🏽4 💭N/A IP 🕐2020-09-01 11:41:35
│ │ │ └── 凄临雨: 幻影或血手,不比纯血量强? 👍🏽0 💭N/A IP 🕐2020-09-01 21:58:57
│ │ │ │ └── 云雀: 讨论的是前期 👍🏽1 💭N/A IP 🕐2020-09-01 22:00:35
│ │ │ │ └── 榛仁葡萄干: 前期我觉得还是布甲鞋和小反甲更好吧,毕竟jj的伤害来源都是平a,还有破绽的加速拉扯和回血 👍🏽3 💭N/A IP 🕐2020-09-02 11:22:20
│ │ │ └── 知乎用户FzPlj: 打剑姬明显先考虑护甲啊…… 👍🏽1 💭N/A IP 🕐2021-05-22 16:06:08
│ │ │ └── 知乎用户FzPlj: 每单位承伤增益,护甲比生命值便宜。而且剑姬真伤部分是百分比真伤,不是固定真伤,那么出生命值并不比出护甲收益高 👍🏽0 💭N/A IP 🕐2021-05-22 16:08:28
│ │ │ └── 李三思o: 打剑姬肯定还是优先护甲,出血量剑姬打弱点的收益也会提升[魔性笑] 👍🏽0 💭N/A IP 🕐2021-08-14 09:07:42
│ │ │ └── 行行如也: 作者的意思是面对真伤由于护甲无效所以血量更加重要,不过由于剑姬是百分比真伤,所以血量收益反而没有护甲好,像打万豪、青钢影这类的前期堆血量准没错 👍🏽0 💭N/A IP 🕐2023-03-19 13:31:20
│ │ └── 饮水: 学废了,这就上号来把亚索 👍🏽0 💭N/A IP 🕐2020-09-02 12:56:58
│ └── 云雀: 要打重伤可以安排一个,纯抗打就出血量 👍🏽3 💭N/A IP 🕐2020-09-01 12:02:24
小涩: 这就是一个案例 生动形象的表明了 一个粗糙的差建模 得出来的结论能有多么没意义。 👍🏽6 💭N/A IP 🕐2020-09-02 01:16:37
│ └── 5279qwlrkm: 大佬找时间建一个或者给点提示呗,实在看不出来到底怎么差了。 👍🏽0 💭N/A IP 🕐2020-09-02 02:12:27
│ └── 天子小七: 那你做一个精致细腻的好模型出来给大家看看啊 👍🏽3 💭N/A IP 🕐2020-09-02 08:01:11
丨丨: 学数学其实是学思路,帮助你更好的解决问题。聪明的人会根据线性思路举一反三根据局势优化自己的双抗及血量。普通的人做一个伸手党面对多ad伤害时有了更好的选择。愚蠢的人自作聪明生搬硬套并认为毫无意义。 👍🏽4 💭N/A IP 🕐2020-09-02 12:06:52
│ └── 李三思o: 同意,答主更像是抛砖引玉的那个人[机智] 👍🏽0 💭N/A IP 🕐2021-08-14 09:13:32
居合: 哪里是这么简单粗暴的啊,要考虑的因素好多[捂脸] 👍🏽2 💭N/A IP 🕐2020-09-02 07:04:42
│ └── 爆唐: 确实 👍🏽0 💭N/A IP 🕐2025-01-19 01:07:05
闲人免: 牛批 👍🏽22 💭N/A IP 🕐2020-09-01 00:08:51
│ └── 喂 在吗: emmmm200护甲2250血。血量是不是少了点。我一般玩肉200护甲就纯血量了。再堆护甲感觉收益很低。 👍🏽9 💭N/A IP 🕐2020-09-01 00:23:08
│ └── 云雀: 可以看看我下面的评论,回答了你的疑惑 👍🏽4 💭N/A IP 🕐2020-09-01 00:49:13
│ └── 刘路: 因为有百分比破甲弓和黑切。如果对面核心是vn就不一样了。 👍🏽3 💭N/A IP 🕐2020-09-01 23:24:45
│ └── 汝爱花否: 血量四千护甲一百多二百,感觉可以出输出了,有次蒙多出过电刀,泰坦出过重伤书后特别强,感觉出点输出对战斗力提升很大。 👍🏽2 💭N/A IP 🕐2020-09-02 02:43:31
│ └── 反人类栀子花: 巨九不香吗非出电刀 👍🏽0 💭N/A IP 🕐2020-09-02 15:16:24
│ └── 汝爱花否: e技能使蒙多有二百左右的基础攻击力,ad伤害全靠普通攻击的英雄再出攻击力已经没有意义了,所以出有攻速和暴击的电刀。还有巨九和三相太贵。 👍🏽0 💭N/A IP 🕐2020-09-02 17:48:25
二零一八六月七: 懂了,前期优先出加血的,后期混着来 👍🏽19 💭N/A IP 🕐2020-09-01 06:12:42
│ └── 无聊的吴: 打蛮子先出板甲是么? 👍🏽0 💭N/A IP 🕐2020-09-02 20:11:02
│ │ └── 二零一八六月七: 日炎、兰顿、反甲啊。蛮王是特例,全是平A,所以最好先出反甲吧。 👍🏽0 💭N/A IP 🕐2020-09-02 20:19:27
│ │ └── 无聊的吴: 那还先出血量么? 👍🏽0 💭N/A IP 🕐2020-09-02 20:56:43
│ │ └── 无聊的吴: 打剑姬也是啊 👍🏽0 💭N/A IP 🕐2020-09-02 20:56:54
│ │ └── 二零一八六月七: 也有血量啊。并不是说前期只能出狂徒这样的纯加血量装备。护甲和血量又不矛盾,只是说前期血量性价比更高。而且板甲本来就不是纯肉装,有攻击/移动属性,基本没有上单第一件出这个吧。这个偏功能性了。对线剑姬、蛮王,看我是什么英雄,我要是战士,就出我自己的装备(黑切/破败)跟他硬刚,我要是坦克,就无脑反甲/日炎/兰顿。 👍🏽0 💭N/A IP 🕐2020-09-02 21:09:51
│ │ └── 无聊的吴: 阳甲的推线,反甲的反击重伤,板甲的加速,蓝盾的双减抗暴击,绿甲的治疗加持,是装备的效果,难道出个为了血量出个腰带在做反甲么? 👍🏽0 💭N/A IP 🕐2020-09-02 21:16:31
│ └── 陶落落是个臭弟弟: yxlm装备并不只是单纯的属性还有特效,大部分人面对蛮王先出的都是布甲鞋和小反甲而不是血量,但特效这一部分恰恰是这个回答完全不考虑进去的。 👍🏽0 💭N/A IP 🕐2020-09-03 11:51:14
│ └── 知乎用户FzPlj: 答主说反了 👍🏽0 💭N/A IP 🕐2021-05-22 16:05:24
不洗脸的小学生: 别这样,我晕了 👍🏽14 💭N/A IP 🕐2020-09-01 03:17:08
│ └── 云雀: 记住结论就行辣[调皮] 👍🏽2 💭N/A IP 🕐2020-09-01 07:34:01
│ │ └── 乐乐就酱: 您管这叫结论?说吧先出哪一件[飙泪笑] 👍🏽7 💭N/A IP 🕐2020-09-02 08:51:16
│ │ └── 或许: 就是前期堆血量,后期血量与护甲平衡 👍🏽0 💭N/A IP 🕐2020-09-02 11:58:29
│ │ │ └── 游客用戶: 实际上考虑到吸血和技能回复,还有护盾,所以护甲收益其实会更高一点 👍🏽0 💭N/A IP 🕐2020-09-02 17:14:52
│ │ └── 某某wu: 先出狂徒[捂嘴] 👍🏽1 💭N/A IP 🕐2020-09-02 19:02:05
│ │ └── 乐乐就酱: 哈哈哈哈哈,没毛病 👍🏽0 💭N/A IP 🕐2020-09-02 19:16:28
│ └── 我是废物: 我建议滑着走 👍🏽2 💭N/A IP 🕐2020-09-02 12:13:29
乌云流: 这种纯数学计算没啥意义,结果得出两条荒谬的结论。在游戏中血量比护甲多两千要怎么实施计算。大件加血加护甲的,难道要把几个大件的小件单拎出来计算配比达到你的结论吗!?还有什么7.5加750.一般后期全肉上单二百多的护甲,照你的结论也就两千出头的血量,够干屁的,团战抗不了几秒。 👍🏽13 💭N/A IP 🕐2020-09-01 00:27:26
│ └── 云雀: 多两千只是为了引出7.5+750的关系,那个不需要记忆;再者这就是理论计算结果,比如你说的200护甲就是2250血量,承受伤害6750,花费10000块,你可以换别的试一下,在同样的花费下你绝对找不出比这承伤更大的。之所以你会觉得血量少了是因为你考虑了法伤。而且我一开始就说了,这适用于前期对线伤害单一的情况,后期可能不适用 👍🏽61 💭N/A IP 🕐2020-09-01 00:38:36
│ │ └── Lincoln: 您好,想请教下魔抗和血量的比例到今日有结论了吗? 👍🏽0 💭N/A IP 🕐2021-06-11 08:06:55
│ └── 云雀: 假设一级700血30护甲①2250血200护甲,抗伤6750,花费7500【我的】②3000血100护甲,抗伤6000,花费7533【你的】你可以多试几个 👍🏽14 💭N/A IP 🕐2020-09-01 00:47:03
│ │ └── 小学生: 搞得那么复杂干嘛,只要知道每一点护甲或者魔抗都等于给你的最大生命值增加了1%就行了 👍🏽6 💭N/A IP 🕐2020-09-01 01:19:41
│ │ └── 云雀: 这句话没错,但是知道这个也不能得出具体的出装方案,只能笼统地知道护甲和血量要均衡 👍🏽6 💭N/A IP 🕐2020-09-01 07:32:40
│ │ └── 白云外: 你理解错了,护甲魔抗越高收益越低的 👍🏽1 💭N/A IP 🕐2020-09-01 19:34:29
│ │ │ └── 凄临雨: 并不,线性收益才是第五层,你是第二层 👍🏽9 💭N/A IP 🕐2020-09-01 21:57:50
│ │ │ │ └── 网友小卜: 这波你在大气层。其实这种计算应该是战队数据分析师该干的吧 👍🏽0 💭N/A IP 🕐2020-09-02 00:55:42
│ │ │ └── 刘路: 回去重算 👍🏽0 💭N/A IP 🕐2020-09-01 23:26:26
│ │ │ └── 信阳狂人: 无论你有多少护甲,每点护甲提供的等效生命值都是相同的(魔抗同理),但护甲越高,你自己买血量和你对手买百分比穿甲的收益越高,但护甲又会加大你的回血的收益,所以具体情况具体讨论,指望一个笼统的结果概括实战是不现实的 👍🏽3 💭N/A IP 🕐2020-09-02 05:24:14
│ │ │ └── 知乎用户rPCFpy: 你理解错了 👍🏽1 💭N/A IP 🕐2020-09-02 06:19:10
│ │ └── 憬宝: 那平衡点在哪? 👍🏽0 💭N/A IP 🕐2020-09-02 15:40:16
│ │ └── 小学生: 自己算呗 2000血的时候一点抗性就是20血 100护甲的时候1点血实际上可以扛2点伤害普通人没必要算的那么仔细,只要知道对面暴击高就出蓝盾这种水平就ok了。 👍🏽1 💭N/A IP 🕐2020-09-02 18:27:53
│ └── 云雀: 实在不行咱开个训练模式对A呗[干杯] 👍🏽6 💭N/A IP 🕐2020-09-01 00:48:16
│ │ └── Oliver Chan: 如果对A的话,还得考虑吸血 👍🏽1 💭N/A IP 🕐2020-09-02 17:03:30
│ └── wmzz: 实际的游戏里不会只承受物理伤害,所以血量可能需要比计算得到的值再高一些。答主也说了这里是只考虑物理伤害的情况。 👍🏽7 💭N/A IP 🕐2020-09-01 06:19:24
│ └── 祈颖涵: 他说的这个是装备吧。。。不算基础血量吧。。 👍🏽0 💭N/A IP 🕐2020-09-02 00:56:15
│ └── 十一大帝: 张口就是没啥意义?用数学方法解决实际问题这种尝试本身就是有意义的。 👍🏽24 💭N/A IP 🕐2020-09-02 02:03:03
│ │ └── 普陀凉雾丨: 认同 👍🏽0 💭N/A IP 🕐2020-09-16 02:34:15
│ │ └── 哇哇哇: 不用和那种人计较,他们在网上看不起这看不起那。很正常。 👍🏽0 💭N/A IP 🕐2020-10-20 18:23:10
│ └── 王重阳: 那你算一个 👍🏽1 💭N/A IP 🕐2020-09-02 07:09:31
│ └── 君子勿劳: 1.经济固定,你200护甲的情况下谁都知道4000血比2000血能抗,但是经济一样吗?2.纯物理伤害,对面如果纯物理伤害的时候你200护甲其实相当能抗的,你觉得2000血太少是因为对面的ap伤害和真伤你就不住。 👍🏽0 💭N/A IP 🕐2020-09-02 07:48:22
│ └── 种田梨沙: 多读点书,你也可以用数学解决生活中的问题 👍🏽3 💭N/A IP 🕐2020-09-02 08:21:03
│ │ └── 乌云流: 多读点书,多动动脑,你也不会跟我腻歪。数学计算告诉你建个桥需要承重100吨,需要用什么方式盖,选什么材料,到哪里进货。医生告诉你一天要摄入5毫克铁,吃个螃蟹能摄入8毫克,怎么办。数学要跟实际相结合,按科学指导还得有个具体实施方法的问题。你地明白。 👍🏽0 💭N/A IP 🕐2020-09-02 11:02:45
│ │ └── 府良: 答主确实是纯数学计算,但并非像你说的无意义。数学计算如果和实际偏差太大,那么只能说明主要的特征没有考虑进来,但这一点已经很有意义了。另外你举的例子不太合适,首先英雄联盟是游戏,影响的因素是有限的,游戏的本身就是数值运算,通过数据分析往往更有效,例如电脑AI战队。 👍🏽3 💭N/A IP 🕐2020-09-02 11:30:35
│ │ └── 普陀凉雾丨: 单纯的数据计算结果很难直接运用到游戏中去,但是绝对有指导意义。按你说的来,如果一个医生在给你开药方的时候说让你吃几毫克铁之类的话,那是他的不对,但是他可以根据科学依据为你制定最合理的食谱,最大限度地保证你的生命安全。如果你不按照食谱吃,假如出了问题,找谁说理去?再回到本回答,理想化的模型至少告诉了我们数据上的最优解,我们可以根据模型构建出一套足够合理的出装思路和顺序,我想,这样玩游戏,总比瞎猫碰死耗子强吧?(单纯讨论,如果你执意认为我错了,那么请记住一定是你对 👍🏽0 💭N/A IP 🕐2020-09-16 02:45:48
│ └── 最后的轻语: 没用的我1000护甲,1800血量被大虫子一口闷了我10000血量,30魔抗被维鲁斯一键带走了我放弃了理论计算,我大虫子400护甲,200魔抗,10000血量,忍者鞋,兰顿,适应性头盔,石像鬼板甲,特效也拉满,被剑姬rqw秒了所以出肉没啥意义,得出实战出肉没用的不荒谬结论,出肉就是个笑话,建议取消肉装,删除前排英雄 👍🏽5 💭N/A IP 🕐2020-09-02 11:10:40
│ │ └── 带抽象家: 征服者刚出和无尽暴击带真伤的时候所有坦克英雄确实都成了笑话。 👍🏽0 💭N/A IP 🕐2020-09-02 17:56:10
│ └── 国家特级扯淡师: 多读点书,你也可以用数学解决生活中的问题 👍🏽2 💭N/A IP 🕐2020-09-02 11:11:36
│ └── Hell World: 他给自己看不懂答主在说啥找个借口,你们干嘛抓住人家不放呢[惊喜] 👍🏽1 💭N/A IP 🕐2020-09-02 12:16:29
│ └── 吴家麒: 我恰恰认为答主是正确的,因为正常出装的钱需要购买血量,魔抗,护甲甚至cd和攻击力,所以不符合这个公式。如果假设对面纯ad且没有百分比掉血,而且你是个不想打任何输出的肉,则完全可以按照答主的公式来 👍🏽0 💭N/A IP 🕐2020-09-02 12:26:56
│ └── 哪里有彩虹告诉我: 多读点书,你也可以用数学解决生活中的问题 👍🏽0 💭N/A IP 🕐2020-09-02 13:40:03
│ └── 大炮开兮轰X娘: 按作者的说法,玩肉人人裸狂徒,三个大腰带起步,然后再出正常肉装,强啊逼乎![捂嘴][捂嘴][捂嘴][捂嘴] 👍🏽0 💭N/A IP 🕐2020-09-02 13:51:50
│ │ └── 普陀凉雾丨: 你这样出装符合作者给的公式吗,逼王? 👍🏽0 💭N/A IP 🕐2020-09-16 02:47:28
│ │ └── 不得了的呆呆兽: 你连答案都没看懂,就别嘲讽平台了 👍🏽0 💭N/A IP 🕐2020-09-29 15:53:42
│ └── 生生: @Dreamreader 👍🏽0 💭N/A IP 🕐2020-09-02 20:18:26
│ └── 奥比丶: 因为你以为结论不对所以方法就是不行的。还是你认为纯数学计算不行,所以结论都是错的? 罗辑可以的,c9 👍🏽0 💭N/A IP 🕐2020-09-06 13:59:51
│ └── 引江谣: 在你轻易开团之前你确定你的输出够吗?[滑稽] 👍🏽0 💭N/A IP 🕐2020-09-14 11:51:02
小汤姆: 好家伙,玩个游戏编辑器都用上了 👍🏽9 💭N/A IP 🕐2020-09-01 16:36:48
玄禅: 答主说的对于一些特例不成立,某些有回血的英雄,并且血量不会被直接秒杀的情况,堆双抗,比如猴子,诺手之类的英雄,只要你单位时间回的血大于单位时间承受的伤害,那么你就是永动机,别人永远打不死你 👍🏽5 💭N/A IP 🕐2020-09-01 19:35:40
│ └── 云雀: 感谢补充 👍🏽1 💭N/A IP 🕐2020-09-01 19:42:22
│ └── 云雀: 不能死套公式,要灵活运用[赞同] 👍🏽4 💭N/A IP 🕐2020-09-01 19:42:49
zy博: 高中时用线性规划没解出来[捂脸] 👍🏽4 💭N/A IP 🕐2020-09-01 17:46:16
韭零后: 这就是知乎的世界吗,i了i了 👍🏽4 💭N/A IP 🕐2020-09-01 17:38:32
Seymour Zhang: wow 👍🏽3 💭N/A IP 🕐2020-09-01 00:00:15
命数如云: 其实只讲数据并不好用。。比如布甲鞋对普攻有很大的克制 👍🏽2 💭N/A IP 🕐2020-09-02 00:53:28
│ └── ziying20: 比如说线对平a型战士,出血量会被用破败吸到死。 👍🏽0 💭N/A IP 🕐2020-09-02 14:20:17
知乎用户xo1zMk: 打无限火力的时候遇到一次…石头人6冰心…我们这边五个ad确实没人能打动他…后来它换了血量+护甲…冰拳阳炎什么…反而我们能打动他了。 👍🏽2 💭N/A IP 🕐2020-09-02 00:18:43
│ └── 浮生若梦: 阳炎?你是不是暴露了 👍🏽0 💭N/A IP 🕐2020-09-02 01:27:36
│ └── 十七情书: 六冰心石头人护甲七八百了吧 就算出了大穿甲弓打石头人也不过就是从减免90的物理伤害变成减免80的物理伤害 这时候出黑切是最好的选择 👍🏽0 💭N/A IP 🕐2020-09-02 06:15:26
│ └── 知乎用户xo1zMk: 不不不,哪才六七百,我记得有一千多了,黑切剪完也锤不动他。后来我们卡莎出纯ap了…那确实酸爽,他才开始堆血量的。 👍🏽0 💭N/A IP 🕐2020-09-02 09:38:56
│ └── 泡泡注视着你: 现在冰心是110了 之前是100就算是 100的 被动+30% 无限火力等级能超18 所以我按18算 基础护甲100 那就是700*(1+30% )有被动还要*3 就是1330… 👍🏽0 💭N/A IP 🕐2020-09-02 14:39:59
从前有座山: 如果考虑换血,吸血,药瓶,技能,回城次数,装备合成因素,更复杂。一概而论没有意义 👍🏽2 💭N/A IP 🕐2020-09-01 17:14:44
│ └── 云雀: 模型虽然简单,但总有其指导意义。要统筹考虑所有因素是难以做到的,因为很多都是变量,是随时变化的。略去这些复杂因素,只考虑主要因素,得到的结果不一定准确,但可以加以修正。考虑到你说因素,我估计血量应该比理论值低一些。但低多少要根据具体环境确定,但也八九不离十,不会有过大的偏差。 👍🏽10 💭N/A IP 🕐2020-09-01 18:05:53
│ │ └── 梦断笔先停: 其实完全考虑现实因素,由于装备和金币数量有限,加上阵容和功能和英雄特性限制,最重要的是每个人的打法,选择其实很少,多打一些游戏也就有了最适合自己的理解。但是,我看到这个答案十分欣喜,因为最初我就是因为这种回答喜欢上知乎的。我把知乎主要当成一个知识平台。现在知乎发展越来越好了,但各种视频和时事讨论已经成为主流,回答抖机灵和主观性越来越强。参照隔壁B站鬼畜区和网易云早期评论区,其实是个不可避免的现象,毕竟资本驱动发展。最后,加油[赞同] 👍🏽2 💭N/A IP 🕐2020-09-02 01:45:33
│ └── 梦断笔先停: 罗马不是一日建成的,我们应该欢迎这种认真从理论去分析游戏的人,去探寻游戏背后内容的人,完全现实情况那样工作量太大了,已经超出了利用空余时间分享知识的范畴,可能去做战队的数据分析师是需要的。 👍🏽10 💭N/A IP 🕐2020-09-02 01:38:36
│ └── 电商运营狗: 你跑题了,题目是出肉的选择,很明显是问哪个选择更挨揍,你这都是对线了 👍🏽1 💭N/A IP 🕐2020-09-02 10:32:58
无极键圣: 龟龟:我6神开技能5k血1k护甲。[滑稽] 👍🏽2 💭N/A IP 🕐2020-09-01 11:36:26
│ └── 小东东: 这个血量和护甲是怎么同时做到的 👍🏽0 💭N/A IP 🕐2020-09-01 19:14:49
│ └── 无极键圣: 石像鬼+龙龟技能啊。[惊喜] 👍🏽1 💭N/A IP 🕐2020-09-02 00:33:55
│ └── 小东东: 可以可以 👍🏽0 💭N/A IP 🕐2020-09-18 10:29:16
英雄联盟: Respect!! 👍🏽1 💭N/A IP 🕐2020-09-02 13:29:36
Ray丶: 必火 我说的 耶稣也拦不住 👍🏽1 💭N/A IP 🕐2020-09-02 13:14:27
Mr.1one1y: 看到大佬校友了 👍🏽1 💭N/A IP 🕐2020-09-02 08:31:22
十七情书: 把征服者贪欲猎手这些回血天赋去掉 把破败这些百分比伤害去掉 再把那些带百分比伤害的英雄和带回复或者护盾的英雄去掉 这答案就是完美的 👍🏽1 💭N/A IP 🕐2020-09-02 06:18:16
│ └── 十七情书: 不过还是过于死板 没有考虑到对线的换血 英雄都是自带回复的 护甲高的可以在每一波对拼里占到便宜 反复换血之后 护甲的优势就体现了 👍🏽0 💭N/A IP 🕐2020-09-02 06:23:07
│ └── ziying20: 所以说实际上没人第一件出狂徒。反而反甲会有人出。 👍🏽0 💭N/A IP 🕐2020-09-02 14:26:29
靠谱老于: 蓝盾抗一下暴击值多少血量?装备的特效也就是合成卷轴的钱才是一个装备的灵魂属性。这么说的话纯肉前期就应该六红石或者五红石一布甲,但现实情况哪有这么出的。见过六绿豆都没见过五红石 👍🏽1 💭N/A IP 🕐2020-09-02 02:08:34
竹风筝: 知乎遗风 👍🏽1 💭N/A IP 🕐2020-09-02 00:53:19
Hawley: 学霸要是玩起游戏来,真的没学渣什么事, 👍🏽1 💭N/A IP 🕐2020-09-01 15:59:12
│ └── 翻滚的300块: 🧙♀️ 👍🏽0 💭N/A IP 🕐2020-09-02 09:33:38
刘大尉: 6 👍🏽0 💭N/A IP 🕐2024-02-06 01:30:16
ade: 太牛逼了 👍🏽0 💭N/A IP 🕐2023-12-14 12:44:11
亮点: 然而,学会了理论知识,段位还是卡在青铜[捂脸] 👍🏽0 💭N/A IP 🕐2021-08-26 08:56:54
轩辕: 奈何装备大多有特效,只能说是个尝试 👍🏽0 💭N/A IP 🕐2021-08-25 10:10:43
西海郡王菜: 然鹅装备不可能只出护甲或者只出血量,大件都是设定好的,而且由于成装特殊效果,出一堆散件绝大部分情况是不划算的。而且小件也有效果,就只有300块布甲和400红水晶是单纯的数值。所以这样研究半天我觉得实用性不大 👍🏽0 💭N/A IP 🕐2021-08-13 05:28:42
冰菓: 知乎遗风[飙泪笑] 👍🏽0 💭N/A IP 🕐2021-06-08 11:07:29
知乎用户FzPlj: 前期对线不打团明显应该优先护甲/魔抗,然后考虑生命值 👍🏽0 💭N/A IP 🕐2021-05-22 16:05:00
夜夜: 我玩儿个游戏我还得考个研究生啊[捂脸][捂脸][捂脸] 👍🏽0 💭N/A IP 🕐2020-11-01 18:08:42
令人智熄的操作: 看完不想玩lol了,仿佛做了一道数学题 👍🏽0 💭N/A IP 🕐2020-10-30 11:17:19
大王叫我来巡山: 好家伙,我是来玩游戏的还是来学习的 👍🏽0 💭N/A IP 🕐2020-10-26 16:52:37
cleenyn: 数据帝,有当年盒子论坛的味道了 👍🏽0 💭N/A IP 🕐2020-10-14 04:37:57
最不屑一顾是相思: 我不配玩游戏 👍🏽0 💭N/A IP 🕐2020-10-07 01:53:20
君长夜: 其实这种讨论完全没有实际意义,只是单纯看上去很帅XD上单的作用,或者说是上单装备的作用体现在团战能力上的应用情况是很多样的。举个最简单的栗子,成型装是有特效的。这些特效在使用中占到了更重要的作用,远不是几百点血 几十点护甲可以比拟的。英雄也有他的独特机制与配合效果,这对敌方的输出英雄有限制作用。但是我不否认最初的结果,就是那个血量与护甲/魔抗都要有的情况。简单有效的来说,游戏里血量+抗性+技能机制配合,是让你玩坦克上单能多抗且有作用的关键。控制里有句话叫模糊控制,在一个复杂系统里,过于细致的计算是脆弱的,或者说是没有意义的。游戏这个东西,多玩你就懂了( ̄∀ ̄) 👍🏽0 💭N/A IP 🕐2020-09-30 09:31:48
就叫七七吧: 太长没看,只看了结论,表达一下看法,结论反了,前期抗性优于血量,抗性达到一定程度血量优于抗性 👍🏽0 💭N/A IP 🕐2020-09-26 00:58:57
│ └── 就叫七七吧: 算上基础回复,药,多兰盾之类的回复,抗性更优于血量 👍🏽0 💭N/A IP 🕐2020-09-26 01:06:30
Ghost: 我人晕了 👍🏽0 💭N/A IP 🕐2020-09-24 16:06:08
毛司徒: 跟数学家这种铁分奴玩,真是没意思[可怜] 👍🏽0 💭N/A IP 🕐2020-09-23 14:43:18
青词: 你在赣神魔?[捂脸] 👍🏽0 💭N/A IP 🕐2020-09-23 10:17:45
伏地魔: 主w破败大嘴教做人 👍🏽0 💭N/A IP 🕐2020-09-23 09:19:29
虔诚异人: 护甲高血量低,有回复或者吸血能力最佳;护甲低血量高适用于部分生命值伤害有关的英雄。 👍🏽0 💭N/A IP 🕐2020-09-22 15:38:27
莫东旭: 答主是数学系的吗? 👍🏽0 💭N/A IP 🕐2020-09-22 11:18:12
攸宁: 傻了[发呆] 👍🏽0 💭N/A IP 🕐2020-09-21 10:13:55
骑士2333: 感觉不太对,血量可以理解为通用抗性,护甲为专用抗性。一个游戏怎么可能通用抗性比专用抗性便宜?等我有空用常用游戏测试一下 👍🏽0 💭N/A IP 🕐2020-09-14 14:40:38
虚拟传播: 牛。。。。逼。。公式解救一切 👍🏽0 💭N/A IP 🕐2020-09-13 21:21:37
冰淇淋666: 减伤公式玩什么这样啊,看不到求解释 👍🏽0 💭N/A IP 🕐2020-09-12 06:58:54
│ └── 云雀: 官方就是这样的,你也可以去游戏里把鼠标放到上面,一个一个看 👍🏽0 💭N/A IP 🕐2020-09-12 10:09:35
松鼠: 出血量肯定是没有错,虽然你的计算我没看懂,但从逻辑上讲,肉盾英雄要出血量 👍🏽0 💭N/A IP 🕐2020-09-11 09:10:38
孩子: 堆护甲 👍🏽0 💭N/A IP 🕐2020-09-11 08:19:46
NIyoUDuba: 突然发现没点文化游戏都玩不明白了[摊手] 👍🏽0 💭N/A IP 🕐2020-09-10 15:27:05
304874075: 点赞6666 👍🏽0 💭N/A IP 🕐2020-09-10 11:48:41
齐同学: 前期程血量准没错[机智] 👍🏽0 💭N/A IP 🕐2020-09-10 11:13:57
陶落落是个臭弟弟: 前期出血量这个结论恰恰跟实践是相反的,忽略太多影响因素得出的模型就是这么粗糙。 👍🏽0 💭N/A IP 🕐2020-09-10 03:45:12
│ └── 云雀: 实践经验如此,便对么? 👍🏽0 💭N/A IP 🕐2020-09-10 09:27:23
│ └── 陶落落是个臭弟弟: 非常对啊,不管是职业比赛、普通rank还是opgg统计的各种出装胜率都是如此。英雄联盟不是单一购买属性,装备还涉及到特殊效果和后续合成。另外最重要的一点这个游戏哪怕前期也有大量的回复,这个模型完全没有考虑到。天赋、符文、装备、升级、血瓶都有血量回复,在经济只投入到护甲或者血量的时候回复的血量是固定的,但出护甲的情况下回复的血量也相当于增加了相应的护甲。这游戏如果只需要考虑装备的面板属性也不会火到今天。 👍🏽0 💭N/A IP 🕐2020-09-10 11:18:04
│ └── 云雀: 就拿opgg和你说吧,无论是出装,天赋还是召唤师技能,胜率高的一般都是使用率较少的,说明多数经验并不代表正确。而你说了这么多,并不能支持你的《前期出护甲,因为别人都这么出》的论点,而且你其中的不少对立观点,我在文中都提到并回答过 👍🏽0 💭N/A IP 🕐2020-09-10 13:00:52
LIAOXINGYU: 看到第三张图直接跳评论区[语塞][语塞][语塞]直接看的我想睡觉 打扰了 👍🏽0 💭N/A IP 🕐2020-09-09 20:58:28
陈智土的副业笔记: 一个体温引出了一个数学大神[赞同]。 👍🏽0 💭N/A IP 🕐2020-09-09 18:26:04
晓晓剑锋: 大哥,你真太专业了,这个文章很有趣 👍🏽0 💭N/A IP 🕐2020-09-09 18:21:09
知乎用户nEJ683: 可以一起约一波参加数模吗 👍🏽0 💭N/A IP 🕐2020-09-07 23:58:50
撤销医嘱: 这些是要和出装与英雄属性相配合的 铁男这种带盾带回血前期5布甲没毛病 👍🏽0 💭N/A IP 🕐2020-09-07 22:36:54
笑颜中毒: 这么认真玩游戏[飙泪笑],要是真有游戏关乎生命成为世界主流职业,想不出到底会有多少论文算法来验证怎么玩才更高效 👍🏽0 💭N/A IP 🕐2020-09-07 20:59:36
深度学习的晋晋: 说实话还是看英雄,对剑姬肯定先出父亲背心。为了线权该出小日炎还得出小日炎。就算坐好立正挨打的准备除了少数装备,小件大于纯属性,大件大于小件。双锁子甲四个大腰带5600块,80物抗,1520生命。还不如一个石像鬼板甲进去能抗。 👍🏽0 💭N/A IP 🕐2020-09-07 14:28:38
波吉波普不笑: 真是🐮🍺,👴的膝盖你收下吧 👍🏽0 💭N/A IP 🕐2020-09-07 11:51:37
夏阳: 我不配玩游戏 跪了 👍🏽0 💭N/A IP 🕐2020-09-07 01:58:27
肉煎包: 厉害[飙泪笑] 👍🏽0 💭N/A IP 🕐2020-09-06 18:55:29
执剑人罗辑丶: 五个VN打五个龙龟,龙龟该怎么出装? 👍🏽0 💭N/A IP 🕐2020-09-06 17:37:31
│ └── 云雀: 无尽饮血电刀[惊喜] 👍🏽0 💭N/A IP 🕐2020-09-06 19:19:14
口渴可乐: python? 👍🏽0 💭N/A IP 🕐2020-09-06 13:46:38
海岸线: 好好好,拍手拍手 👍🏽0 💭N/A IP 🕐2020-09-06 12:54:50
炎帝精灵: 写的不错,可惜没有审题目条件“英雄联盟里” 👍🏽0 💭N/A IP 🕐2020-09-06 12:49:00
安生222: 请问,你认识石头人吗 👍🏽0 💭N/A IP 🕐2020-09-06 11:31:34
绯色: 然后职业选手 前面裸了护甲鞋 👍🏽0 💭N/A IP 🕐2020-09-06 09:12:13
自然就好: 主要也有被动技能,和主动技能 👍🏽0 💭N/A IP 🕐2020-09-06 03:31:42
时间湮没的辉煌: 66 👍🏽0 💭N/A IP 🕐2020-09-05 19:43:29
黑虎掏心: 都是卵的,五个人的游戏 👍🏽0 💭N/A IP 🕐2020-09-05 18:03:59
繁华路口: 这是真牛逼, 👍🏽0 💭N/A IP 🕐2020-09-05 13:30:19
奇葩的诞生: 分析得有理有据,但是现在是真伤和混合伤害的年代[捂脸] 👍🏽0 💭N/A IP 🕐2020-09-05 08:48:08
普艇和战略缓冲桌: 吸血英雄是另一回事了 👍🏽0 💭N/A IP 🕐2020-09-05 06:45:15
知乎用户yulqo1: LOL可能不是一款游戏,而是披着游戏皮的数学题[生气] 👍🏽0 💭N/A IP 🕐2020-09-04 23:03:16
大鱼Q: 我看到设护甲为X,就知道要开始了 👍🏽0 💭N/A IP 🕐2020-09-04 22:55:20
租撸青一: 我是来玩游戏的 👍🏽0 💭N/A IP 🕐2020-09-04 20:38:19
Chensir: 说实话还不如去训练营测试,写那么多看不懂的 直接下滑 👍🏽0 💭N/A IP 🕐2020-09-04 19:10:07
写给明天的自己: 让我想起来一本小说《奥术神座》 👍🏽0 💭N/A IP 🕐2020-09-04 19:03:13
春至冬殇: 去ig做分析师吧 👍🏽0 💭N/A IP 🕐2020-09-04 11:40:26
辉镜: 那我石头人岂不是要起飞(滑稽) 👍🏽0 💭N/A IP 🕐2020-09-04 11:39:23
oooooo: 数学建模比赛没你我不看 👍🏽0 💭N/A IP 🕐2020-09-04 10:35:32
虚无的放矢: 教练? 👍🏽0 💭N/A IP 🕐2020-09-04 10:03:35
迷失的黑狐: 懂了,第一件出狂徒[机智] 👍🏽0 💭N/A IP 🕐2020-09-04 09:55:39
│ └── 云雀: 懂了,每次出门五瓶血 👍🏽0 💭N/A IP 🕐2020-09-04 11:50:15
辣可真行: 我在玩英雄联盟你在玩奥数联盟?[捂脸] 👍🏽0 💭N/A IP 🕐2020-09-04 09:22:17
是欧尼酱啦: 能不能整点人听的懂的话😂😂😂 👍🏽0 💭N/A IP 🕐2020-09-04 08:50:03
柒飞: 敌方Vn 👍🏽0 💭N/A IP 🕐2020-09-04 02:13:44
千反田保护协会会: 建模题牛批 👍🏽0 💭N/A IP 🕐2020-09-03 23:09:25
求知者: 看见这款游戏有多么难了吗! 👍🏽0 💭N/A IP 🕐2020-09-03 22:54:17
市民Q: 就这我直接一波关注 👍🏽0 💭N/A IP 🕐2020-09-03 20:18:29
Elias: 哥,咱们就玩个游戏[吃惊] 👍🏽0 💭N/A IP 🕐2020-09-03 20:05:12
神农: 我有一个问题,如果在计算初始血量的情况下,图中的那个啥子截距点(初始护甲,初始血量)距离那个最优曲线的距离不一定等于原点到那个最优曲线的距离也就是说这时候的血量花费并不是比护甲花费多两千,事实上这时候的两个坐标的意义也不是分别的花费,应该是血量花费+初始血量花费(初始血量除血量价格)所以我觉得,那段:金币关系为:血量花费是护甲花费加两千好像是不对的应该是血量花费+初始血量花费是护甲花费+初始护甲花费+2000 👍🏽0 💭N/A IP 🕐2020-09-03 18:31:28
│ └── 云雀: 我文中的意思就是这样,我所说的血量花费就是初始的+现在的。可能表达不清楚,抱歉。但从我画的图中应该可以理解我的意思就是你的意思 👍🏽1 💭N/A IP 🕐2020-09-03 18:51:16
冷灯参剑: 选个奥恩,看着出就行了,反正后期护甲超标(我从未见过如此恶心之英雄) 👍🏽0 💭N/A IP 🕐2020-09-03 18:10:29
凄美之地: 肉不肉啊 是相对而言的 不是说什么装备就肉 要看对面 。和自身的英雄特性 👍🏽0 💭N/A IP 🕐2020-09-03 17:46:45
弱水: 这就是西电的大神吗 👍🏽0 💭N/A IP 🕐2020-09-03 16:18:21
空條承太郎: 对线打得过出什么都不在意 对线打不过出什么都不在意 👍🏽0 💭N/A IP 🕐2020-09-03 15:52:19
春天来了: 大神受我一拜 👍🏽0 💭N/A IP 🕐2020-09-03 14:55:49
Leonardo Lee: 卧槽硬核 👍🏽0 💭N/A IP 🕐2020-09-03 14:43:59
GHzally: 建模大佬 👍🏽0 💭N/A IP 🕐2020-09-03 12:03:52
芒密: 知乎时刻提醒我是个废物 👍🏽0 💭N/A IP 🕐2020-09-03 10:24:13
GG思密达: 把这个作为高数探究题必能吸引同学们做题 👍🏽0 💭N/A IP 🕐2020-09-03 09:22:04
雾都汉: 还有就是小编能否加个好友一起探讨一下如何玩转知乎非常感谢! 👍🏽0 💭N/A IP 🕐2020-09-03 09:20:58
│ └── 云雀: ?我也没在知乎上回答过几次,不是很懂你什么意思,而且我只是个学生,不是什么小编 👍🏽0 💭N/A IP 🕐2020-09-03 10:16:34
肾亏大魔王: 铁男打诺手我习惯先出小反甲,那换成小面具会不会好点 👍🏽0 💭N/A IP 🕐2020-09-03 09:10:31
Percy: 我也是西电的,怎么才能像你这么优秀[捂脸] 👍🏽0 💭N/A IP 🕐2020-09-03 08:36:24
小凡: 我艹,专业 👍🏽0 💭N/A IP 🕐2020-09-03 08:16:14
JACKPOI: 计算斩杀线,最沉迷的那段时间也试过学答主这样研究各种有的没的[捂脸] 👍🏽0 💭N/A IP 🕐2020-09-03 04:16:33
同名: 你这算出了收益 但是很多场景面对的不一定合适譬如遇到卡莎 vn等百分比物理真实或物法混伤的,单纯血量或者护甲都没什么用,只能看阵容与形式出合适的装备 👍🏽0 💭N/A IP 🕐2020-09-03 01:01:01
铁马冰河: 说这么多,你倒是告诉我第一件出什么啊[滑稽][滑稽] 👍🏽0 💭N/A IP 🕐2020-09-03 00:41:57
NERV: 这是我玩的联盟么?[捂脸][捂脸] 👍🏽0 💭N/A IP 🕐2020-09-03 00:20:10
小悠米丶: 我大概是2500血左右 200护甲或者150魔抗,要是两种输出都有就狂徒加布甲孩,后面补血手 👍🏽0 💭N/A IP 🕐2020-09-02 23:16:36
柠檬: 这是什么软件 👍🏽0 💭N/A IP 🕐2020-09-02 22:34:48
范二是个好习惯: 其实还是看英雄特性吧,你玩个石头人只堆2000多的血量剩余的钱补上400的护甲肯定没有问题,但你要是玩蒙多还这么出装的话估计要被队友愉悦送走。 👍🏽0 💭N/A IP 🕐2020-09-02 22:23:41
坤仔: 真TM是个人才,楼主 👍🏽0 💭N/A IP 🕐2020-09-02 22:22:15
叫我小陈好了: 带学者嗷 👍🏽0 💭N/A IP 🕐2020-09-02 22:17:12
清明: 我是来打游戏的 不是来学数学的[捂脸][捂脸][捂脸][捂脸] 👍🏽0 💭N/A IP 🕐2020-09-02 21:09:24
知乎用户a7h2dM: 果然累,因为楼主是个文化人。 👍🏽0 💭N/A IP 🕐2020-09-02 21:02:23
自在prajna: 好活,我看到高考游戏的结果了[飙泪笑][飙泪笑][飙泪笑] 👍🏽0 💭N/A IP 🕐2020-09-02 20:52:14
热心网友小孟: VN:??? 👍🏽0 💭N/A IP 🕐2020-09-02 20:40:12
mecer: 出最肉的装,挨最毒的打 👍🏽0 💭N/A IP 🕐2020-09-02 20:38:37
生生: @Dreamreader 👍🏽0 💭N/A IP 🕐2020-09-02 20:17:53
│ └── Dreamreader: ?。。tql 👍🏽0 💭N/A IP 🕐2020-09-05 12:30:15
eason: 这个结论明显与不符,我们都知道上单抗压父亲背心比巨人腰带好用的多,即使父亲背心的合成极其有限。因为出血量装对血量的增长幅度是完全无法跟上等级增长时技能伤害增长的。而护甲可以降低对方技能升级时伤害的上涨幅度,这才是主要的。同时你也忽略了对方攻击力、攻速、吸血的增长在你护甲不变的情况下产生的连锁反应。 👍🏽0 💭N/A IP 🕐2020-09-02 20:15:33
│ └── 云雀: 无论对方的伤害怎么增长,都没有关系,都是用最大承受伤害来考虑。护甲的削减效果已经算在其中了(护甲的本质是其实也是增加最大生命值 👍🏽0 💭N/A IP 🕐2020-09-02 21:45:25
│ └── eason: 不啊。前期是对线不是打团,最大承伤根本就不是目标。目标永远是换血不亏或者至少补完刀安全脱战。炮车血量这么高,你会觉得他比英雄肉吗?对线期坦克目标是将对方一定时间伤害的降到和自己相近,然后再用血量成长和高额的技能基础伤害立于不败之地。又或者保证自己在对面两波消耗的时间间隔中间回血量≈对方的伤害-自己的伤害。如果对方伤害明显高过你,那你血量再多两三波兵线下来也要被越塔的。再综合技能成长和实际换血看看你就更清楚了。lol受伤都是有时间间隔和时间范围的,为了一个平A(最小的受伤时间间隔)的时间差甚至可以交闪现。你的模型没有时间参数(双方技能CD差、攻速、回塔时间),而且一开始目标就错了,结论背道而驰也不奇怪。另外如果你真的仔细思考你那个最大承伤值,会发现在那个参数下护甲对于回血也是百分比加成的。 👍🏽0 💭N/A IP 🕐2020-09-02 23:52:13
还是吸猫吧: 总算有人正儿八经按我曾经想的硬核答题了 可惜我马桶喇叭和编程已经忘了 👍🏽0 💭N/A IP 🕐2020-09-02 20:14:09
等风: 懂了,玩亚索要出电刀 👍🏽0 💭N/A IP 🕐2020-09-02 19:59:34
声蝉: 好棒的回答,作者nb! 👍🏽0 💭N/A IP 🕐2020-09-02 19:48:28
二爷的刀把: 我词穷,唯有卧槽 👍🏽0 💭N/A IP 🕐2020-09-02 19:46:21
biubiubiu: 我来晚了,这个问题我一年半前就算过。[衰] 👍🏽0 💭N/A IP 🕐2020-09-02 19:30:44
大萝莉: 气抖冷,魔抗什么时候才能站起来 👍🏽0 💭N/A IP 🕐2020-09-02 19:22:03
猪小弟乔治: 怪不得现小日炎这么厉害,原来如此。 👍🏽0 💭N/A IP 🕐2020-09-02 19:13:24
yiiii: 虽然差不多能看懂,但就是觉得逼格高 👍🏽0 💭N/A IP 🕐2020-09-02 18:57:06
波波: 药水哥:我出门总是带着五瓶药水 👍🏽0 💭N/A IP 🕐2020-09-02 18:53:02
池鱼: 可以作为论文发表了[捂脸] 👍🏽0 💭N/A IP 🕐2020-09-02 18:51:59
文刀: 惊现知乎遗风 👍🏽0 💭N/A IP 🕐2020-09-02 18:41:34
阳光和海风: 不学Python,玩个毛的王者[飙泪笑] 👍🏽0 💭N/A IP 🕐2020-09-02 18:40:53
亡者陌路: 同为西电人 有的人(正是在下)还在为段位而发愁 而有的人已经研究出了游戏的本质 这就是差距吗呜呜呜😭 👍🏽0 💭N/A IP 🕐2020-09-02 18:35:14
君不罔梦: 我们似乎玩的不是同一款游戏[捂脸] 👍🏽0 💭N/A IP 🕐2020-09-02 18:30:07
我想要俩颗西柚: 数据看着很好,但实际情况下完全用不到 👍🏽0 💭N/A IP 🕐2020-09-02 18:25:35
小戴小戴不会狗带: 我滴妈。这就在我理解范围外了,不过护甲收益160是最佳,魔抗忘了多少了,抗性到60%以后收益就很低了。 👍🏽0 💭N/A IP 🕐2020-09-02 18:12:39
付付: 我是来学拿5杀的,你让我放下鼠标拿起了数学书 👍🏽0 💭N/A IP 🕐2020-09-02 18:11:46
皮了个皮: 打个游戏你搬出函数?我送你赢好吧[撇嘴] 👍🏽0 💭N/A IP 🕐2020-09-02 17:52:15
侠客行: 我敢有什么意见 👍🏽0 💭N/A IP 🕐2020-09-02 17:42:36
高子歌: 数学不错,但对线讲究的是换血消耗!买护甲,一个魔瓶回的血量,更抗揍了,换血更赚了。同样一个技能,掉血更少了,更容易被多兰盾抵消了。你这只是考虑拼一波,却不考虑线上反复拉扯,吸血、吃果子、传送补血补药,自带技能回血等最频繁最重要的消耗这一环节。有护甲没护甲,换血天差地别。 👍🏽0 💭N/A IP 🕐2020-09-02 17:35:54
脾气爆爆: 我只知道前期铁男出个小反甲我鳄鱼打不过 他出生命值我乱打 👍🏽0 💭N/A IP 🕐2020-09-02 17:16:43
浪的飞起: 这个是大佬[赞同] 👍🏽0 💭N/A IP 🕐2020-09-02 17:13:25
Bow沙卡拉卡: 我是来打游戏的,不是来学数学的 👍🏽0 💭N/A IP 🕐2020-09-02 17:06:19
捉个猴子做晚餐: 数据说话,真的强啊啊啊啊啊啊 👍🏽0 💭N/A IP 🕐2020-09-02 17:01:54
嘻嘻: 这个就叫专业 👍🏽0 💭N/A IP 🕐2020-09-02 16:59:43
杀犸特-葬爱: 把我看傻了 👍🏽0 💭N/A IP 🕐2020-09-02 16:56:46
天地我仁行: 好家伙 专业 👍🏽0 💭N/A IP 🕐2020-09-02 16:54:52
石樂誌: 这个就叫专业 👍🏽0 💭N/A IP 🕐2020-09-02 16:49:31
STAR SKY: 某英雄一级600血,36护甲相当于化为a,b截距这地方没想明白,up主能详细解释一下吗?感谢 👍🏽0 💭N/A IP 🕐2020-09-02 16:35:42
宾木: 我干,这就是真的知乎么[爱] 👍🏽0 💭N/A IP 🕐2020-09-02 16:35:35
七生牡: 我电学长🐂🍺 👍🏽0 💭N/A IP 🕐2020-09-02 16:29:36
泽辰: 这玩意也建模。。。。。。 👍🏽0 💭N/A IP 🕐2020-09-02 16:29:13
小乌龟: 玩个游戏还搞起了数学,玩不起了 👍🏽0 💭N/A IP 🕐2020-09-02 16:26:31
故事的小黄花: 牛比,玩个游戏都能整得一套一套的 👍🏽0 💭N/A IP 🕐2020-09-02 16:25:22
漆頭芝傅: 我玩个游戏 还要去学数学 我晕了 👍🏽0 💭N/A IP 🕐2020-09-02 16:22:45
卓尔: 那么魔抗呢 👍🏽0 💭N/A IP 🕐2020-09-02 16:21:46
零记忆: 也不知道你说的对不对,也没办法准确验证,看着很厉害的样子,就当你是对的吧 👍🏽0 💭N/A IP 🕐2020-09-02 16:19:47
知乎用户0R3bvY: 简而言之第一件不能出冰心和反甲和头盔,日炎板甲和黑切比较优 👍🏽0 💭N/A IP 🕐2020-09-02 16:18:07
反串是条狗: 这游戏,我不配 👍🏽0 💭N/A IP 🕐2020-09-02 16:17:20
Henry: 薇恩笑晕在厕所 👍🏽0 💭N/A IP 🕐2020-09-02 16:15:49
多情却似总无情: 数学建模需要你 👍🏽0 💭N/A IP 🕐2020-09-02 16:15:26
NaibaoOfficial: [思考]我就喜欢看活学活用 👍🏽0 💭N/A IP 🕐2020-09-02 16:11:57
gggggg: 被对面操作一下,就算多两条大腰带,三个锁子甲还是会被单杀[思考] 👍🏽0 💭N/A IP 🕐2020-09-02 16:10:08
知乎用户SqvFwt: 哇,硬核回答,厉害厉害,虽然看完了还是没懂 👍🏽0 💭N/A IP 🕐2020-09-02 15:58:14
菜狗: 我选择抄大神出装 👍🏽0 💭N/A IP 🕐2020-09-02 15:47:42
夜刀神棉袄: 一个个比上网课都认真 👍🏽0 💭N/A IP 🕐2020-09-02 15:45:31
lll: 知 乎 遗 风 👍🏽0 💭N/A IP 🕐2020-09-02 15:41:43
burning: 好家伙,只想打个游戏还要学数学[惊喜] 👍🏽0 💭N/A IP 🕐2020-09-02 15:40:25
匹夫橙啊: 什么是专业,这就叫专业, 👍🏽0 💭N/A IP 🕐2020-09-02 15:38:13
戴欧克: 想补充一点,实际装备不是线性提升护甲或者血量的,而是混合来的(中 庸 之 道)。你的公式里面相当于默认只买小护甲和红水晶,而且装备格子是6个。那个图的定义域应该根据这两个加限制条件 👍🏽0 💭N/A IP 🕐2020-09-02 15:33:56
│ └── 云雀: 巨人腰带和锁子甲和红水晶和布甲性价比几乎一样,大件的话可以看做花钱买特效。注释里面都写过了 👍🏽0 💭N/A IP 🕐2020-09-02 15:44:54